Kiosztásra kerültek a sporttámogatások

 

Szentes város közigazgatási területén működő, hivatalosan bejegyzett, sporttevékenységet végző jogi személyiségű sportszervezetek, illetve minden önkormányzati tulajdonban lévő sportlétesítmény üzemeltetője, oktatási és nevelési intézmények iskolai sportkörre és olyan a város területén működő gazdasági társaságok pályázhattak önkormányzati támogatásra, melyet felhasználhatnak a sportkör működési költségeinek kiegyenlítésére és rendezvények (versenyek) megszervezésére - hallhattuk a Dózsa-házban megtartott sajtótájékoztatón, melyet Kovács János a sportbizottság vezetője és Bujdosó Tamás önkormányzati képviselő tartott.

 

 

 

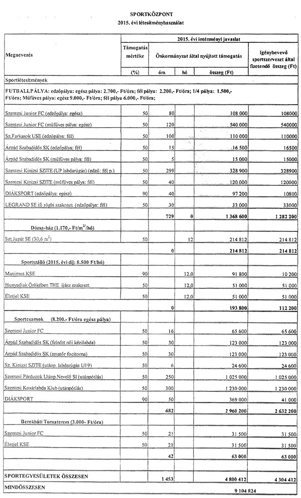
A sportkörök összesen 46 milliónyi támogatást igényeltek, melyből 22 millió 720 ezer forint támogatási igényt tudott a sportbizottság kielégíteni - hallhattuk a sajtótájékoztatón.

 

 

 

A pályázatok elbírálása során a bizottság figyelembe vette az egyesület taglétszámát, az egyesület aktív versenyzői létszámát, szakosztályainak számát, edzők számát és képzettségét, a sportszervezet nyilvántartásában szereplő székhely és tevékenységi körét, a sportszervezet gazdálkodásával kapcsolatos információkat, és  a sportszervezet sportági eredményességével kapcsolatos információkat. A mindenkori költségvetésben jóváhagyott támogatási összeget a bizottság az alábbi %-os mértékben javasolta felosztani: – 80 % a versenysport, 5 % városi rendezvények, 5 % a szabadidősport, 10 % a diáksport.

 

Az önkormányzati támogatást az egyesületek az alábbi célokra használhatják fel:

• játékvezetői-, versenybírói díjak fedezésére, egyéb versenyrendezéssel összefüggő kiadásokra,

• sportszerek, sportfelszerelések vásárlásra,

• létesítményhasználatra,

• a sportolók utazási költségeire (bérelt busz, vonat)

• díjak, serlegek, elismerések stb. vásárlásra.

 

Mindezek felett támogatásként az Önkormányzat a tulajdonában és fenntartásában lévő sportlétesítmények használatát egységes elvek alapján a költségvetésben meghatározott mértékben kedvezményesen biztosítja a jogi személyiséggel rendelkező városi sportszervezetek, illetve oktatási intézmények iskolai sportkörök számára.

 

A sajtótájékoztatón megtudtuk, hogy volt olyan intézmény aki azért nem kapott támogatást, mert nem rendelkezik sportköri egyesületi szervezettel, így ők tevékenységüket művészetoktatási céllal végzik.

 

 

 

 

.